湖南省农业农村厅办公室
关于转发省委农村工作领导小组《推进县域经济 高质量发展实施方案(2022—2025年)》
及《湖南省 县域经济考核评价实施办法(试行)》的通知
湘农办发〔2022〕63号
各市州、县市区农业农村局:
现将中共湖南省委农村工作领导小组印发的《推进县域经济高质量发展实施方案(2022—2025年)》及《湖南省县域经济考核评价实施办法(试行)》转发给你们,请认真贯彻执行。贯彻落实过程中出现新情况新问题,及时报告省农业农村厅。
湖南省农业农村厅办公室
2022年6月16日
附件1
推进县域经济高质量发展实施方案
(2022—2025年)
一、主要目标
力争到2025年,全省县域经济总量、产业层次、财政实力均有较大提升,各县(市)竞相发展,实现弱县赶超,强县跨越,县域总体实力整体跃升。经济实力稳步增强,县域地区生产总值稳步增长;实现500亿元、200亿元、100亿元以上的县(市)分别达到20%、65%、95%。产业结构不断优化,一产业“压舱石”成色更足,工业对经济增长贡献率稳步提高,商贸服务业成为新的增长点,二三产业增加值占地区生产总值比重达到87%以上。财政收入稳健增长,地方一般公共预算收入5亿元以上的县(市)达87%以上,地方税收占地方一般公共预算收入比重达到75%左右。市场主体增量提质,推动市场主体多元发展,“四上”企业数量稳步增长。财政自给率逐步提高,地方政府债务风险化解能力得到提升。
二、重点工作
(一)聚焦主导产业。坚持宜农则农、宜工则工、宜商则商、宜游则游。围绕产业基础,梳理确定最具优势、最具发展潜力的产业,聚力突破。大力发展县域范围内比较优势明显、带动农业农村能力强、就业容量大的产业,推动形成“一县一业”发展格局。充分发挥国家级现代化示范园辐射带动作用,建设一批主业突出的现代产业园、科技园、特色小镇、产业强镇、“一村一品”重点村。强化品牌提升,鼓励打造精品品牌。支持劳动力密集型和资源集约型企业向县域疏解,引导承接东部地区产业向县域有序梯度转移。依靠科技赋能主导产业提质增效,大力发展数字经济。
(二)突出主体培育。把特色做成规模、使规模成为主导、让主导变成集群。持续推进《湖南省人民政府关于优化营商环境促进市场主体高质量发展的意见》(湘政发〔2022〕2号)、《湖南省人民政府办公厅关于印发〈湖南省企业上市“金芙蓉”跃升行动计划(2022-2025年)〉的通知》(湘政办发〔2022〕2号)、《湖南省人民政府办公厅关于印发〈深入开展新增规模以上工业企业行动实施方案〉的通知》(湘政办发〔2022〕3号)文件精神在县域落实落地,让市场主体倍增工程、“金芙蓉”跃升行动助力县域经济,促进市场主体高质量发展。大力开展招商签约,积极引进战略投资者,鼓励引进培育“四上”企业,重点发展制造产业和乡村产业等主导产业,对首次落户湖南县域的三类500强企业实施招商项目奖励。实施优质民营企业梯度成长培育计划和小微企业成长工程,加快“个转企、小升规、规改股、股上市”提档升级。
(三)加快园区发展。引导产业向园区集中、企业向园区集聚,纵向拉长产业链条、横向壮大产业规模,发展做大园区带动型县域经济。大力推进产业发展“万千百”工程,围绕主导产业、优势产业,县级培育一批百亿级产业、一批十亿级企业,建设一批亿元级项目。创新产业园区管理模式,完善并用好用活“五好”园区考评指标体系。鼓励支持在经济强镇设立产业集聚区,从规划、土地、税收、金融等方面给予倾斜。鼓励支持有条件的地方共建“飞地经济”。
(四)促进城乡融合。加速推动一二三产业融合发展,围绕农业和制造业共性服务需求,支持农业大县聚焦农产品加工业,引导企业到产地发展粮油加工、食品制造。实施乡村休闲旅游精品工程。推进电子商务进农村。实施县域商业体系建设行动,加快实施“互联网+”农产品出村进城工程。推动冷链物流服务网络向农村延伸,提升县域流通服务网络建设水平。推动城乡基础设施一体化和公共服务均等化。大力推动新型城镇化,构建以县城为龙头、中心镇为纽带的发展格局。
(五)引导要素集聚。优化财税分配制度,进一步完善省以下均衡性转移支付、县级基本财力保障机制奖补资金办法,对县域经济发展成效较好且政府债务风险管控有力的县,加大一般债券和专项债券的倾斜力度。创新县域金融服务产品,支持城镇和农业农村基础设施等重点领域补短板项目。鼓励工商资本到县域投资兴业、创业。加大科技副县长、科技特派员、“三区”科技人才选派支持力度。完善人才合作模式,实行每个县(市)至少与一个高校(科研院所)建立战略合作机制,支持“人才飞地”,从党政机关、事业单位定期选拔优秀干部到县(市)工业园区、企业挂职或任职。优化新增建设用地计划指标和城乡建设用地增减挂钩指标分配,切实保障重大产业项目和县域城镇化补短板强弱项项目等合理用地需求。
三、工作路径
(一)成立一套班子。成立由省委副书记任组长、省政府分管副省长任副组长的省委县域经济工作领导小组,领导小组办公室设在省农业农村厅,具体承担统筹协调、督促检查和考核评价等工作职责。成员单位由省直相关部门组成。各市(州)、县(市)也要建立相应的推进机制。
(二)出台一个文件。结合新形势新要求,对各级各部门落实《关于推进县域经济高质量发展的政策措施》(湘政办发〔2020〕61号)等重点政策措施开展“回头看”和“后评估”,有针对性的实化细化举措。
(三)制定一个考评办法。建立全省县域经济考评体系和办法,考核指标兼顾各地不同资源禀赋、区位条件、发展基础和功能定位的差异,实施分类考核、科学考核,既考核总量更考核增量。对获得表彰激励的先进县(市)给予1000万元奖励,奖励资金由省财政专门安排,全部用于激励地方政府发展县域经济。
(四)发布一张排行榜。根据年度考评结果,每年对86个县(市)经济发展情况进行一次排名,通过召开新闻发布会,在湖南日报等权威媒体公布。对获得表彰激励的先进县(市)在每年省委经济工作会议上通报表彰。
(五)召开一次现场推进会。每年选择一个县域经济发展进步较快、成效明显的市州或县(市),以省委、省政府名义召开一次现场推进会,通过现场观摩、经验交流、领导点评等形式,推进全省县域经济高质量发展。
(六)推动一县一策。督促指导县(市)按照“一县一业”发展的总体要求,找准自身优势定位,明确主攻方向,制定“一县一策”发展方案,并报省委县域经济工作领导小组办公室备案。通过“一县一策”做强做优“一县一业”,努力打造一批综合经济强县、农产品加工大县、绿色食品基地县、生态经济示范县和外向开放活力县。
(七)吸引一批人才返乡创业就业。与乡村振兴战略相结合,大力开展“湖南是个好地方,就业不用去远方”宣传推介活动。支持各类专业人才、返乡农民工、复员退伍军人、社会乡贤回乡创业就业,在创业就业补贴、创业担保贷款、土地电力使用等方面给予政策倾斜。县域“双创”返乡人员稳步增长,每年增长15万人,年均增幅10%左右。
四、保障措施
(一)加强组织领导。市(州)党委、政府要切实落实统筹协调责任,加强对所辖县(市)经济发展工作的支持和指导。县级党委和政府要压实主体责任,真正把县域经济作为主攻方向和“第一要务”。各相关部门要进一步完善细化政策措施,加强工作衔接,强化协同,形成工作合力,确保政策落地见效。
(二)优化营商环境。不断深化扩权强县改革,推进经济社会管理权限下放。持续深入推进“放管服”改革,着力解决群众最反感、市场主体最困扰、制约发展最突出的问题。着力打造高效透明的政务环境、公平正义的法治环境、诚信守约的人文环境和绿水青山的生态环境,严肃查处损害县域发展环境的人和事,以好作风好环境促进县域经济高质量发展。
(三)浓厚发展氛围。各级各部门要打好立体宣传攻坚战,通过报纸上“刊”,电视上“播”,网络上“载”,微信上“传”,集镇上“挂”等方式,不断丰富宣传手段,营造浓厚的发展氛围。要定期召开新闻发布会、政策宣讲会,加强政策解读,确保政策直达各类市场主体,打通政策落地“最后一公里”。各主流媒体要将县域经济纳入重点宣传范围,每年组织一次专题系列报道,总结推介一批经验做法和典型范例,形成全省县域经济发展“比学超赶”、社会各界和人民群众广泛参与的新格局。
(四)提振干部作风。树立正确政绩观,真抓实干,埋头苦干,进一步建立健全激励机制和容错纠错机制,允许试错,鼓励探索,为敢于担当的干部撑腰鼓劲。
附件2
湖南省县域经济考核评价实施办法(试行)
为深入贯彻省委、省政府关于县域经济高质量发展的决策部署,切实发挥县域经济考核评价的激励导向作用,特制定本办法。
一、考评范围
全省86个县(含县级市,以下均简称县)列入考核评价范围,实行分类考核评价,分类名单如下:
一类县(33个)。长沙县、浏阳市、宁乡市、醴陵市、邵东市、湘乡市、汨罗市、湘潭县、桂阳县、资兴市、湘阴县、岳阳县、永兴县、攸县、澧县、平江县、华容县、汉寿县、祁阳市、沅江市、桃源县、涟源市、桃江县、临湘市、常宁市、耒阳市、隆回县、衡阳县、冷水江市、石门县、衡南县、宁远县、韶山市。
二类县(38个)。道县、衡东县、南县、祁东县、嘉禾县、东安县、双峰县、江华瑶族自治县、宜章县、衡山县、津市市、茶陵县、洞口县、临武县、新邵县、吉首市、蓝山县、安乡县、武冈市、临澧县、洪江市、中方县、慈利县、靖州苗族侗族自治县、会同县、辰溪县、新宁县、新田县、安仁县、芷江侗族自治县、炎陵县、双牌县、凤凰县、桂东县、江永县、花垣县、汝城县、新晃侗族自治县。
重点帮扶县(15个)。新化县、沅陵县、安化县、邵阳县、溆浦县、龙山县、麻阳苗族自治县、绥宁县、永顺县、泸溪县、保靖县、桑植县、通道侗族自治县、城步苗族自治县、古丈县。
二、考评原则
(一)坚持科学导向、突出重点。引导各县树立高质量发展导向,更加突出绿色创新发展理念,更加突出产业优先发展路径和重点。
(二)坚持综合考评、公平公正。充分考虑各县发展基础和产业方向,注重评价的科学性和可操作性,客观反映县域经济发展成效。
(三)坚持促进发展、强化激励。发挥县域特色和优势,激发经济发展活力,推动构建各具特色、竞相发展的县域经济新格局。
三、考评办法
(一)指标体系。将各县当期地区生产总值、一般公共预算收入、地方税收收入、规模以上工业增加值、城乡居民人均可支配收入等5项指标的总量和增幅作为考评指标。设置地区生产总值和一般公共预算收入增幅不低于全省平均水平的否定项。综合考虑脱贫县经济发展实际,对47个脱贫县增加脱贫人口人均可支配收入增幅高于当地农民人均可支配收入增幅、防止农村规模性返贫2个否定项。
(二)指标分值。满分设定为100分,地区生产总值的满分分值为20分、一般公共预算收入的满分分值为20分、地方税收收入的满分分值为20分、规模以上工业增加值的满分分值为30分、城乡居民人均可支配收入的满分分值为10分。指标总量和增幅分值所占比重原则上确定为4:6。
(三)指标采集和审核。地区生产总值、规模以上工业增加值等2项指标的总量和增幅由省统计局审核;城乡居民人均可支配收入指标的总量和增幅由国家统计局湖南调查总队审核;一般公共预算收入、地方税收收入等2项指标的总量和增幅由省财政厅和省税务局审核;脱贫县的脱贫人口人均可支配收入增幅高于当地农民人均可支配收入增幅、防止农村规模性返贫等2项指标由省乡村振兴局审核。审核认定的指标数据报省委县域经济工作领导小组办公室。
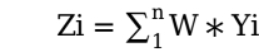
(四)指标计算和排序。采取无量纲化的方法进行计算,即以指标最大差值(指标最大值减去最小值)为基准值,用县域该项指标的目标值减去该项指标的最小值与基准值相比,得出该项指标的无量纲化值,再将得出的指标无量纲化值乘以指标权重,得出该项指标得分。最后将各项指标所得分数累加得出各县考评总分数,并按分数高低进行排序。由省委县域经济工作领导小组办公室会同省统计局负责。
(五)扣分事项。社会治安综合治理由省委政法委负责,安全生产和重大安全生产事故风险由省应急管理厅负责,党风廉政建设由省纪委监委负责,单项最高扣分不超过1分。
(六)通报表扬加分项。由各县政府申报,省委县域经济工作领导小组办公室会同省委组织部、省人力资源和社会保障厅等部门核定。加分总额不超过4分。
四、考评奖励
对年度县域经济考核先进县,由省委县域经济工作领导小组下发表彰激励决定,并给予每个先进县人民政府1000万元激励,激励资金由省财政专门安排,全部用于激励地方政府发展县域经济。
五、组织实施
(一)加强领导。省委县域经济工作领导小组负责考评工作的牵头抓总和组织实施。省委县域经济工作领导小组办公室会同省直有关部门具体实施,并根据考评排序结果,提出表彰激励意见,报省委县域经济工作领导小组审定后下发表彰激励的决定。考评结果由省委县域经济工作领导小组办公室报省委组织部备案。
(二)建立机制。省委县域经济工作领导小组相关成员单位建立考评联席工作机制,每年召开一到两次考评联席工作会议,传达贯彻省委、省政府关于县域经济考评工作的要求;沟通、通报有关情况;总结上年度考评工作;研究完善考评工作措施,改进工作方法。
(三)保证时限。县域经济考核评价每年一次,次年5月底前公布考评结果并兑现奖金。特殊情况按照考评工作实际情况确定考评工作起止时间。
(四)严肃纪律。在考核评价指标数据提供、填报及审核过程中,发现弄虚作假、伪造数据、骗取荣誉的,一经查实即取消其奖励资格,并按照《中华人民共和国统计法》对相关责任人严肃处理。
本办法由省委县域经济工作领导小组办公室负责解释。

考核评价指标计算公式
一、指标无量纲化方法

Yi:第i县的X指标无量纲化值
Xi:第i县的X指标数值
Xmin:各县中X指标最小值
Xmax:各县中X指标最大值
二、分值计算方法

Zi:第i县的综合评分值
W:第1-n个指标的权重
Yi:第i县对应指标无量纲化值
